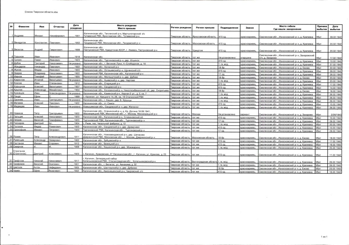
В прошлом году в Износковском районе Калужской области были обнаружены и подняты останки 1250 солдат и командиров Красной Армии, погибших в ходе Захаровской операции в феврале 1942 года. Из них 34 воина – уроженцы тверской земли. Их имена удалось установить, в настоящее время ведется поиск родственников.
«Сегодня очень важно продолжать работу поисковых отрядов. Пока не захоронен последний солдат, война не закончена. Тверская область, как составная часть Российской Федерации, должна быть крепкой, не забывать уроки истории и делать всё, чтобы наша молодёжь выросла в наших традициях, с пониманием настоящей истории», – считает губернатор Игорь Руденя.
Среди защитников, отдавших свои жизни за свободу Родины в ходе Захаровской операции, – бойцы из города Калинина, Старицкого, Кашинского, Калязинского, Сандовского, Оленинского, Бежецкого, Зубцовского и других районов. Семьям, где есть герои, не вернувшиеся с войны и чья судьба остаётся неизвестной, предлагается ознакомиться с этим списком.

Перезахоронение воинов запланировано в преддверии Дня Победы, 5 мая на воинском мемориале «Ивановское поле» в Калужской области.
Работы по разведке, поднятию и установлению имён вело поисковое объединение «ВПК Прорыв», руководители которого являются членами Общероссийской общественной организации «Российская академия естественных наук».
Активная работа по восстановлению исторической памяти ведётся в Тверской области. Поисковым отрядам предоставляется региональная поддержка на организацию экспедиций.
Подпишись на Telegram-канал «ТОП Тверь»: мы публикуем актуальные новости в коротком формате.
